Article
유산균 발효 참외착즙액의 항산화 활성 및 이화학적 특성
박철환1, 김우현1, 권상철1,*
Antioxidant Activity and Physicochemical Characteristics of Lactic Acid-Fermented (Cucumis melo L. var. makuwa) Juice
Cheol-Hwan Park1, Woo-Hyun Kim1, Sang-Cheol Kwon1,*
Author Information & Copyright ▼
1충청북도 증평군 대학로 61 국립한국교통대학교 보건생명대학 식품생명학부 식품공학과 27909
1Department of Food Engineering, School of Food and Life Sciences, Korea National University of Transportation, Jeungpyeong 27909, Korea
© Copyright 2025 Institute of Biotechnology and Bioindustry. This is an Open-Access article distributed under the terms of the
Creative Commons Attribution Non-Commercial License (http://creativecommons.org/licenses/by-nc/4.0/) which permits
unrestricted non-commercial use, distribution, and reproduction in any
medium, provided the original work is properly cited.
Received: Nov 22, 2025; Revised: Dec 22, 2025; Accepted: Dec 26, 2025
Published Online: Dec 31, 2025
ABSTRACT
In this study, domestically produced oriental melon (Cucumis melo L. var. makuwa) and three lactic acid bacteria (Leuconostoc mesenteroides, Lactobacillus plantarum, and Lactobacillus kefiranofaciens) were fermented at 37°C for 72 hours. Fermentation samples were collected at 0, 24, 48, and 72 hours to analyze pH, ABTS radical scavenging activity, and DPPH radical scavenging activity. The pH of the fermented samples decreased exhibited a significant as the fermentation period progressed. ABTS radical scavenging activity reached its highest level at 24 hours across all samples, whereas DPPH radical scavenging activity declined significantly with extended fermentation. These results indicate that 24 hours is the optimal fermentation time to enhance the antioxidant properties of oriental melon fermentation products, confirming its potential as a functional food ingredient.
Keywords: Cucumis melo L. var. makuwa; antioxidant activity; Lactobacillus; Leuconostoc; pH
Ⅰ. 서 론
남녀, 연령대 구분 없이 건강에 대한 관심도가 증가하는 추세이다. 이에 따라 건강기능식품도 구매자에 따라 마케팅 전략이 변화하고 있다(1). 최근 건강기능식품의 섭취가 고령자뿐만 아니라 어린 연령대에서도 섭취가 이루어지고 있다. 20대 연령대에서는 면역력 강화를 목적으로 프로바이오틱스의 섭취가 증가하고 있다(2, 3).
유산균(Lactobacillus)은 탄수화물을 젖산으로 전환하는 능력을 갖춘 미생물이다(4). 유산균은 식물성 재료로 발효 시 제품의 영양성, 기능성, 맛을 향상하는 데 도움을 준다(5). 유산균 발효과정에서 펩타이드, EPS, 박테리오신, 유산 등 다양한 기능성 화합물이 생산된다. 유산균 발효 식품을 섭취하는 것만으로도 항균 작용, 항산화 활성, 항염 효과, 혈당 저하 효과가 있다. 또한, 장내 병원성 세균 성장을 억제하여 면역력을 강화하며, 체내 산화 스트레스 물질을 감소시켜 여러 가지 질병을 예방할 수 있다(6). 유산균 발효 연구로는 버섯 추출물(7), 볶은 아마씨 추출물(8), 배초향 추출물(9) 등 천연물을 대상으로 한 연구가 이어지고 있다.
참외(Cucumis melo L. var. makuwa)는 박피의 makuta 종으로 한국, 중국, 일본에서 광범위하게 재배되는 경제적으로 중요한 농작물이다. 참외는 밝은 노란색을 띠며 매끄러운 껍질과 흰색 살을 가지고 있다. 또한, 참외는 달콤하고 아삭한 식감, 두툼한 과육과 함께 껍질째 먹을 수 있으며, 무엇보다도 강렬한 향이 매력적인 특징 중 하나이다(10). 참외는 가용성 당, 유기산, 미네랄, 비타민 등으로 구성된 풍부한 영양소를 함유하고 있다(11). 참외의 태좌는 항산화, 항염증, 진통 효과 등의 치료 효과가 있다(12). 참외 연구로는 참외의 물과 에탄올 추출물의 항산화(13), 참외 식초 농축액 함유 음료(14), 참외 추출물의 라디칼소거활성(15) 등이 있다. 참외는 다양한 영양 성분과 기능성 물질을 함유한 과일로, 이를 대상으로 한 다양한 연구가 활발히 이루어지고 있지만, 미생물을 적용한 연구는 여전히 부족한 실정이다. 참외는 국내에서 생산량이 높은 과채류임에도 기능성 식품 소재로의 활용 연구는 부족하다. 특히 착즙 후 남는 과육 및 부산물의 활용 가치가 낮아, 발효 공정을 도입하여 기능성을 향상시키는 전략은 산업적·경제적으로 유의미한 접근이라 할 수 있다.
따라서 본 연구에서는 참외 착즙액에 유산균 배양액을 접종하여 pH, ABTS radical 소거능, DPPH radical 소거능을 분석함으로써 최적의 발효시간을 확인하고자 한다. 이를 통해 참외 착즙액과 유산균 발효를 결합하여 기능성이 향상된 식품 소재로서의 이용 가능성을 평가하고자 한다. 또한, 참외를 활용한 미생물 연구를 통해 기능성 식품 개발의 발전에 기여하고자 한다.
Ⅱ. 재료 및 방법
1. 실험재료 및 참외 착즙액 제조
본 실험에 사용된 참외는 현재 시중에서 시판되고 있는 경상북도산을 2024년 08월 구입해 사용하였으며, 구입한 참외는 착즙기(H300L, Hurom Co., Seoul, Korea)를 사용하여 착즙 후 4000 rpm에서 20분간 원심분리(Combi 514R, HANIL SCIENCE, Korea)하여 상등액만 실험에 사용하였다.
2. 참외 유산균 발효물 제조
유산균 균주는 한국교통대학교 식품생명학부에서 분양받은 Leuconostoc mesenteroides MGE3138, Lactobacillus plantarun MGE3143, 균주와 한국 미생물보존센터(Seoul, Korea)에서 분양받은 Lactobacillus kefiranofaciens KCCM11869P 균주를 사용하였다. 백금이로 평판배지의 Colony한 집락 채취해 MRS Broth(Difco Co., USA) 배지에 접종 후 37°C 배양기(C-IND3, CHANGSHIN SCIENE, Korea)를 사용하여 24시간 2회 반복 계대배양을 실시하였다. 그 후 생리 식염수로 2회 Wash 작업 후 현탁액을 만들어 다음 실험에 사용하였다.
참외 유산균 발효물 제조는 참외 착즙액 100 mL를 auto-clave(C-AC-1, CHANG SHIN SCIENTIFIC, Korea)에서 121°C, 15분 멸균하였다. 그 후 냉각 후 유산균 배양액 2%를 접종하여 37°C 배양시켜 참외 유산균 발효물을 제조하였다. 제조된 균주의 종류에 따라 시료을 각각 CLM, CLP, CLK로 표기하였고, 설명은 Table 1에 나타내었다.
Table 1.
Changes in pH according to lactic acid bacteria types and fermentation time of Cucumis melo L. var. makuwa juice
|
|
0 h |
24 h |
48 h |
72 h |
| CLM1) |
5.26±0.00d |
3.82±0.01a |
4.06±0.00b |
4.08±0.01c |
| CLP2) |
5.28±0.01c |
4.90±0.01b |
3.70±0.01a |
3.70±0.00a |
| CLK3) |
5.28±0.01d |
4.28±0.01c |
3.83±0.00b |
3.74±0.00a |
Download Excel Table
3. pH 측정
pH 측정은 발효시간(0, 24, 48, 72 h)에 따라 pH METER (Lab 850, SCHOTT Instruments, Germany)를 이용하여 측정하였다.
4. ABTS radical 소거능 측정
ABTS[2,2'-azino-bis(3-ethylbenzothiazoline-6-sulfonic acid)]에 대한 radical 소거능은 Ku 등(16)의 방법을 일부 변형하여 측정하였다. 7mM ABTS와 2.45mM potassium persulfate를 최종 농도로 혼합하여 실온인 암소에서 12~16시간 동안 방치하여 ABTS+를 형성시킨 후 734 nm에서 흡광도 값이 0.900±0.20이 되게 증류수를 사용하여 희석하였다. 시료 0.4 mL에 ABTS reaction 혼합물 11.6 mL를 첨가하여 혼합 후 실온에서 10분간 반응시킨 다음 spectrophotometer를 이용하여 734 nm에서 흡광도를 측정하였다. ABTS radical 소거능은 시료 첨가군과 시료 무첨가군 흡광도 비를 백분율(%)로 구하였다.
5. DPPH radical 소거능 측정
DPPH(2,2-diphenyl-1-picrylhydrazyl)에 대한 radical 소거능은 Yi 등(17)의 방법을 참고하여 측정하였다. 시료 1 mL와 0.2mM DPPH용액 9 mL를 혼합 후 실온 암소에서 10분간 반응시키고 spectrophotometer를 이용하여 517 nm 파장에서 흡광도를 측정하였다. DPPH radical 소거능은 시료 첨가군과 시료 무첨가군 흡광도 비를 백분율(%)로 구하였다.
6. 통계처리
본 실험은 3회 이상을 반복 실험을 진행하였으며, 측정한 결과는 SPSS(statistical package for the social science 18.0) program을 사용하여 Duncan’s multiple range test를 실시하였다. 통계적 유의성 검증은 p<0.05 수준에서 유의적 차이를 확인하였다.
Ⅲ. 결과 및 고찰
1. pH 측정
pH 실험 결과는 Table 1과 같다. 발효 전 pH는 CLM, CLP, CLK 각각 5.26, 5.28, 5.28이었으며, 발효가 진행됨에 따라 모든 시료에서 유의적으로 감소하였다. 24시간 후 CLM, CLP, CLK 각각 4.08, 4.90, 4.28로 급격한 변화를 나타내었으며, 72시간 후에는 CLM, CLP, CLK 각각 3.82, 3.70, 3.74로 가장 낮은 pH 값을 보였다. Lee 등(18)의 연구의 결과에서 pH가 발효시간이 진행됨에 따라 감소한다는 연구 결과와 유사하게 나타났다. Kim 등(19)의 연구에 의하면 pH의 감소는 유산균 대사 과정에서 생성된 유기산의 증가로 인하여 pH가 감소한다고 하였다. 세 가지 유산균 모두에서 24시간 발효 시 ABTS 활성이 가장 높게 나타났으며, 이는 발효 과정 중 항산화 물질의 생성이 특정 시점에서 극대화됨을 의미한다. pH 감소와 항산화 활성 간의 상관관계도 발효 메커니즘 분석에 중요한 단서가 될 수 있다.
2. ABTS radical 소거능
ABTS radical 소거능 실험 결과는 Figure 1과 같다. 발효 전 ABTS radical 소거능은 12.14%이었으며, CLM, CLP, CLK 발효물은 24시간에서 각각 19.88, 24.31, 22.61%로 최대 활성을 나타냈다. Kim 등(20)의 ABTS radical 소거능 결과에서 생두 유산균 발효 시 24시간에 최대 활성을 보인 보고와 유사한 경향을 나타내었다. 48시간에서 CLM, CLP, CLK 발효물의 각각 13.02, 12.07, 12.81%로 24시간에 최대 활성을 보인 후 급격하게 감소하였고, 72시간에서 모든 시료가 유의적인 차이가 나타나지 않았다. Ryu 등(21)의 ABTS radical 소거능 결과에서 24시간에서의 최대 활성을 보인 후 48시간에서는 감소하는 보고와 유사한 결과를 나타냈다.
Figure 1.
Changes in ABTS radial scavenging content according to fermentation time of Cucumis melo L. var. makuwa juice Lactobacillus.
In each sample, a-c superscripts were significantly different at p<0.05 by Duncan’s multi-range test.
Download Original Figure
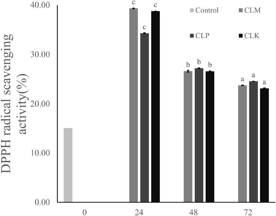
3. DPPH radical 소거능
DPPH radical 소거능 실험 결과는 Figure 2와 같다. 발효 전 DPPH radical 소거능은 15.14%였으며, 발효시간이 지남에 따라 감소하는 결과를 보였다. CLM, CLP, CLK 발효물의 72시간에서 각각 23.76, 24.58, 23.16%로 최소값을 나타내었다. Koh 등(22), Kaprasob 등(23)의 연구에 따르면 유산균 발효 시 DPPH radical 소거능이 감소하는 보고와 유산한 경향을 보였다. 이러한 결과는 DPPH radical 소거능과 ABTS radical 소거능 활성은 각기 다른 자유 radical과 양이온 radical을 소거하고 다른 기질에 결합하는 차이가 있으므로 다른 결과를 보인 것으로 사료된다(24).
Figure 2.
Changes in DPPH radial scavenging content according to fermentation time of Cucumis melo L. var. makuwa juice Lactobacillus.
In each sample, a-c superscripts were significantly different at p<0.05 by Duncan’s multi-range test.
Download Original Figure
Ⅳ. 결 론
본 연구에서는 3종의 유산균과 국내산 참외를 이용하여 기능성 식품 소재로 활용하고자 참외 유산균 발효물을 제조하였다. 유산균 발효물의 pH, ABTS radical 소거능, DPPH radical 소거능실험을 실시하였다. pH는 발효시간이 지남에 따라 감소하였고, 모든 발효물은 72시간의 발효과정에서 가장 낮은 pH 값을 나타내었다. ABTS radical 소거능은 24시간에 CLM, CLP, CLK 각각 19.88, 24.31, 22.61%로 최대 활성을 나타냈다. DPPH radical 소거능은 발효시간이 증가함에 따라 감소하는 경향을 보였다. 24시간 이후 항산화 활성이 감소한 것은 발효가 진행됨에 따라 유산균이 항산화 물질을 대사하여 소비하거나, 폴리페놀 화합물이 구조적으로 변형되었을 가능성이 있다. 특히 장기 발효 시 생성되는 유기산 및 다양한 대사산물이 항산화 활성 측정에 간섭함으로써 활성 수치가 낮아질 수 있다는 보고도 있다. 또한 ABTS와 DPPH는 서로 다른 반응 메커니즘을 갖기 때문에 동일한 패턴을 보이지 않는 점은 기존 연구 결과와도 일치한다. 이러한 연구 결과를 바탕으로, 24시간 동안 유산균으로 발효하는 것이 참외 착즙액의 항산화 활성을 가장 효과적으로 증가시킬 수 있는 최적의 발효시간으로 확인되었으며, 본 연구결과는 참외 발효물을 활용한 기능성 음료, 발효 농축액, 건강기능식품 원료 등 다양한 식품 응용 가능성을 제시한다.
사 사
이 논문은 2025년도 국립한국교통대학교 교내학술연구비의 지원을 받아 수행한 연구임.
참고문헌
Jeong JM. (2015) A study on consumers’ awareness and purchase of health functional food depending on health status and interes. Master’s Thesis, Konkuk University, Korea.

Choi WJ, Hong JS. (2022) A study on the perception of health functional foods: Focusing on the age group of 20s. J Converg Cult Technol, 8, 137~45.

Han JH, Hwang YJ, Kim SH, Kim WY. (2005) Use of functional foods for health by 14∼18 year old students attending general junior or senior high schools in Korea. Korean J Nutr, 38, 864~72.

Yang X, Hong J, Wang L, et al. (2024) Effect of lactic acid bacteria fermentation on plant-based products. Fermentation, 10, 48.


Yang HS, Choi JY, OH HH, et al. (2014) Antioxidative activity of mushroom water extracts fermented by lactic acid bacteria. J Korean Soc Food Sci Nutr. 43, 80~5.


Park EY, Kim BH, Yoon YC, et al. (2018) Total polyphenol contents, flavonoid contents, and antioxidant activity of roasted flaxseed extracts based on lactic acid bacteria fermentation. J Life Sci. 28, 547~54.

Kim NY, Lee HY, Park DS. (2015) Effect of anti-skin wrinkle and antioxidant of
Agastache rugosa Kentz through fermentation process of lactic acid. Korean J Med Crop Sci. 29, 37~42.


Liu WW. (2012) Ethanol treatment inhibits internal ethylene concentrations and enhances ethyl ester production during storage of oriental sweet melons (
Cucumis melo var.
makuwa Makino). Postharvest Biol Technol. 67, 75~ 83.


Chen S, Li Y, Zhao Y, et al. (2021) iTRAQ and RNA-Seq analyses revealed the effects of grafting on fruit development and ripening of oriental melon (
Cucumis melo L. var.
makuwa). Gene. 766, 142~5.



Chen L, Kang YH, Suh JK. (2014) Roasting processed oriental melon (
Cucumis melo L. var.
makuwa Makino) seed influenced the triglyceride profile and the inhibitory potential against key enzymes relevant for hyperglycemia. Food Res Int. 56, 236~42.


Shin YS, Lee JE, Yeon IK, et al. (2008) Antioxidant and antimicrobial effects of water and ethanol extracts of oriental melon (
Cucumis melo L. var.
makuwa Makino). Appl Biol Chem. 51, 194~9.

Kim SK, Lee GD, Lee MH. (2005) Quality change of beverage containing muskmelon vinegar and concentrated muskmelon juice during storage. Food Sci Preserv. 12, 223~9.

Kim HS, Hing MJ, Kang IY, et al. (2009) Radical scavenging activities and antioxidant constituents of oriental melon extract. Korean Soc Bio-Environ Control. 18, 442~7.

Ku HY, Lee KY. (2017) Comparison of antioxidant activity of vegetable oil by using adsorbents. J Korea Acad-Ind Coop Soc. 19, 57~62.

Yi SH, Nam HU, Kin WH, et al. (2024) Quality characteristics of king oyster mushroom snacks according to pre-treatment method. J Korea Acad-Ind Coop Soc. 25, 533~40.


Hong JH, Lee DH. (2016) Physicochemical properties and antioxidant activities of fermented mulberry by lactic acid bacteria. J Korean Soc Food Sci Nutr. 45, 202~8.


Bae EK, Kim GH. (1999) Lactic acid bacteria for the preservation of fruit and vegetables. Food Sci Preserv. 6, 245~54.

Kim DH, Yeon SJ. (2016) Quality characteristics and antioxidant activity of espresso coffee prepared with green bean fermented by lactic acid bacteria. J Korean Soc Food Sci Nutr. 45, 1799~807.


Ryu DG, Park SK, Kang MG, et al. (2020) Antioxidant activity of kelp
Saccharina japonica extract fermented by probiotic lactic acid bacteria. Korean J Fish Aquat Sci. 55, 361~7.

Cho SK, Kim HA, Koh SY, Ryu JY. (2017) Effects of fermentation by the commercial starter ABT-5 on the flavor and antioxidant activities of dark chocolate. Korean J Food Sci Technol. 49, 617~24.

Kaprasob R, Kerdchoechuen O, Natta L, et al. (2017) Fermentation-based biotransformation of bioactive phenolics and volatile compounds from cashew apple juice by select lactic acid bacteria. Process Biochem. 59, 141~9.


Ryu JY, Park HJ, Moon JY, Kim CS, Kim SM. (2018) Lactic fermentation enhances the antioxidant activity of gold kiwifruit. Food Sci Preserv. 25, 255~62.

